#Sorudaki şebeke
PERT(Program Evaluation and Review Technique)
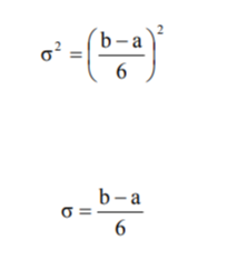
a : En iyimser süre
b : En kötümser süre
m : En olası süre
µ : Beklenen ortalama faaliyet süresi
#Beklenen Değer Formülü
Kaynak:Özlem İpekgil Doğan ve Mehmet Emre Güler, Proje Yönetimi: Araştırma ve Geliştirme Projelerinin Başarısına Etki Eden Kritik Faktörler, İzmir: Fakülteler Kitapevi Başarı Yayınları, 2006, s.38.
T.C. MARMARA ÜNİVERSİTESİ SOSYAL BİLİMLER ENSTİTÜSÜ EKONOMETRİ ANABİLİM DALI
YÖNEYLEM ARAŞTIRMASI BİLİM DALI PERT-CPM İLE PROJE PLANLAMA, DEĞERLENDİRME VE BİR İŞLETME UYGULAMASI Yüksek Lisans Tezi C. ÖZGÜR KARADENİZ'tarafından hazırlanan pdf dosyasından alınmıştır.
PROBLEM
Merkezi Ankara’da açılacak olan bir bankaya yeni bilgisayarlı muhasebe sistemi yapılması planlanmaktadır. Banka yönetimine satılacak projeyi tamamlamak için gerekli aktiviteler aşağıda tablodaki gibi karar verilmiştir.
*İyimser,kötümser ve beklenen değerler tahmini olarak verilmiştir.
Yukarıdaki problemin proje ağını çiziniz ·Kritik yolunu ve tamamlanma süresini bulunuz.
·Projenin 34 haftadan önce tamamlanma ihtimalini bulunuz. (PERT yöntemine göre problemi çözünüz.)
ÇÖZÜM
a: En iyimser süre
b: En kötümser süre
m: En olası süre
E(Tij) : Beklenen ortalama faaliyet süresi olmak üzere;
(i başlangıç düğümü,j bitiş düğümü)
Beklenen değer ve varyans formüllerden hesaplanır.
E(T12)=(3+6*4+15)/6=7
E(T16)=6
E(T23)=14
E(T24)=5
E(T35)=11
E(T45)=7
E(T58)=4
E(T67)=11
E(T78)=18
NOT=VARYANSIN KAREKÖKÜ STANDART SAPMAYI VERİR
varT12=(15-3)2/36=4
varT16=4
varT23=16
varT24=1
varT35=4
varT45=4
varT58=1, varT67=16, varT78=16 hesaplanır.
Şebeke çizimi(Beklenen Değere göre):
> Kritik yol(Critical Path):1-2-3-5-8
E(CP)=7+14+11+4=36 Hafta
var(CP)=4+16+4+1=25
standart sapma(CP)=(25)1/2=5
> Projenin 34 haftadan önce tamamlanma ihtimali
CP normal dağılıma uyduğu göz önüne alınırsa çözüm Z tablosu yardımı ile bulunabilir.(Tablo aşağıdadır.)
P(CP<=34)=P[(CP-36)/5<=(34-36)/5]
= -0.4
0.4 Z tablosunda 0.6554 değerine karşılık gelmektedir.
(1-0.6554)x100=%34.46 ihtimalle proje 34.haftadan önce tamamlanacaktır.
(34.haftadan öncesini sorduğundan tepe noktası 36 olan değerin sol tarafında tarama yapıldığı için çıkarma yapılmıştır.)
İndirme Linki : Sayfaya gitmek için tıklayınız...

beklenendeger cpm iyimserdeger kotumserdeger kritikyol PERT PERT(Program EvaluationandReview Technique) ProgramEvaluation and ReviewTechnique projeyonetimi şebeke
Yorumlar
| 2021-04-15 14:02:28
http://slkjfdf.net/ - Ebiiyux <a href="http://slkjfdf.net/">Qoruniz</a> sfu.nlhk.alpersahinoner.com.qxh.bj http://slkjfdf.net/
| 2021-06-03 09:14:39
http://slkjfdf.net/ - Jexzovul <a href="http://slkjfdf.net/">Ujejoxu</a> hmv.whhu.alpersahinoner.com.rjy.yg http://slkjfdf.net/